山東羅欣藥業集團股份有限公司招標公告

【規 格】按C13H17N5O8S2 計算 (1)0.5g;(2)1.0g;(3)2.0g。
【包 裝】西林瓶裝;1瓶/盒、2瓶/盒、10瓶/盒、20瓶/盒、50瓶/盒。
【單 位】瓶
【批準文號】0.5g 國藥準字H20084212;1.0g 國藥準字H20084213;2.0g 國藥準字H20084214。
【藥品名稱】
通用名稱:注射用氨曲南
英文名稱:Aztreonam for Injection
漢語拼音:Zhusheyong Anqu'nan
【成份】
本品主要成份為氨曲南。
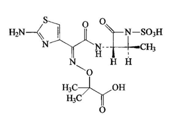
化學名稱:[2S-[2α,3β(Z)]]-2-[[[1-(2-氨基-4-噻唑基)-2-[(2-甲基-4-氧代-1-磺基-3-氮雜環丁烷基)氨基]-2-氧代亞乙基]氨基]氧]-2-甲基丙酸。
化學結構式:

分子式: C13H17N5O8S2
分子量: 435.43
本品輔料為:L-精氨酸。
【性狀】
本品為白色或類白色粉末或疏松塊狀物。
【不良反應】
靜脈給藥可發生靜脈炎或血栓性靜脈炎,肌肉注射可產生局部不適或腫塊,二者的發生率分別約為1.9%和2.4%。
全身性不良反應發生率約1%~1.3%,包括惡心、嘔吐、腹瀉及皮疹。發生率小于1%的不良反應按系統分類如下:
過敏反應:過敏性休克、血管神經性水腫、支氣管痙攣、過敏樣反應。
皮膚及其附件:中毒性表皮壞死松解癥、紫癜、多形性紅斑、剝脫性皮炎、蕁麻疹、瘙癢。
呼吸系統:咳嗽、哮喘、胸悶、呼吸困難、胸痛、喉水腫。
消化系統:口腔潰瘍、舌頭麻木、味覺改變、腹痛、罕見難辨梭菌腹瀉,包括偽膜性腸炎和消化道出血。
全身性損害:寒戰、發熱、乏力、不適、出汗、面部潮紅。
神經系統及精神障礙:頭暈、頭痛、眩暈、失眠、癲癇,精神錯亂、感覺異常、震顫。
血液系統:血小板減少、白細胞減少、中性粒細胞減少、貧血。
心血管系統:心悸、低血壓、一過性心電圖變化(室性二聯和PVC)。
肝膽系統:肝功能異常、AST升高,ALT升高,黃疸、肝炎。
其他:肌肉疼痛、肌酐升高、耳鳴、復視、視力異常。
【禁忌】
對氨曲南有過敏史者禁用。
【注意事項】
1.本品與青霉素之間無交叉過敏反應,但對青霉素、頭孢菌素過敏及過敏體質者仍需慎用。
2.本品的肝毒性低,但對肝功能已受損的病人應觀察其動態變化。
3.氨曲南可與氯霉素磷酸酯、硫酸慶大霉素、硫酸妥布霉素、頭孢唑啉鈉、氨芐青霉素鈉聯合使用,但和萘呋西林、頭孢拉定、甲硝唑有配伍禁忌。
4.幾乎所有的抗生素均有不同程度的偽膜性腸炎報道,包括氨曲南在內,因此,在治療過程中應注意腹瀉癥狀,并明確診斷。
5.肝腎功能受損的患者,在治療期間應觀察其動態變化。
6.氨曲南與氨基糖苷類抗生素聯合使用,特別是氨基糖苷類藥品使用量大或治療期長時,應監測腎功能。
【孕婦及哺乳期婦女用藥】
1.本品能通過胎盤進入胎兒循環,雖然動物實驗顯示其對胎兒無影響、無毒性和無致畸作用,但缺乏在妊娠婦女中進行的充分良好對照的臨床研究,對妊娠婦女或有妊娠可能性的婦女,僅在必要時方可給藥。
2.本品可經乳汁分泌,濃度不及母體血藥濃度的1%,哺乳婦女使用本品時應暫停哺乳。
3.其他藥物相互作用尚不明確。
【兒童用藥】
嬰幼兒的安全性尚未確立,應慎用。
【老年用藥】
老年人用藥劑量應按其腎功能減退情況酌情減量。
【藥物相互作用】
1.本品與氨基糖苷類(慶大霉素、妥布霉素、阿米卡星等)聯合、對銅綠假單胞菌、不動桿菌、沙雷桿菌、克雷白桿菌、普魯威登菌、腸桿菌屬、大腸桿菌、摩根桿菌等起協同抗菌作用。
2.本品與頭孢西丁,在體外與體內起拮抗作用;與萘呋西林、氯唑西林、紅霉素、萬古霉素等,在藥效方面不起相互干擾作用。
【藥物過量】
尚未見使用本品過量的報道,血液透析和腹膜透析將有助于本品從血清中清除。
【藥理毒理】
氨曲南對大多數需氧革蘭陰性菌具有高度的抗菌活性,包括大腸桿菌、克雷伯氏菌屬的肺炎桿菌和奧克西托菌、產氣桿菌、陰溝桿菌、變形桿菌屬、沙雷菌屬、枸櫞酸菌屬、志賀菌屬等腸桿菌科細菌,以及流感桿菌、淋球菌、腦膜炎雙球菌等。其對銅綠假單胞菌也具有良好的抗菌作用,對某些除銅綠假單胞菌以外的假單胞菌屬和不動桿菌屬的抗菌作用較差,對葡萄球菌屬、鏈球菌屬等需氧革蘭陽性菌以及厭氧菌無抗菌活性。氨曲南通過與敏感需氧革蘭陰性菌細胞膜上青霉素結合蛋白3(PBP3)高度親合而抑制細胞壁的合成。與大多數β-內酰胺類抗生素不同的是它不誘導細菌產生β-內酰胺酶,同時對細菌產生的大多數β-內酰胺酶高度穩定。
【藥代動力學】
肌注吸收迅速、完全,正常受試者單次肌注1g,血藥峰濃度可達45mg/L,達峰時間1小時左右。單次靜脈滴注(30分鐘)0.5g、1g及2g后,血清峰濃度分別為54mg/L、90mg/L和204mg/L,8小時后各為1mg/L、3mg/L和6mg/L。以相同劑量改用3分鐘靜脈推注,血清峰濃度分別為58mg/L、125mg/L和242mg/L。在體內廣泛分布于各種組織和體液中,其分布容積成人為20L。在腎、肝、肺、心、膽囊、骨、輸卵管、卵巢、子宮內膜和前列腺等組織,以及膽汁、胸腹膜液、心包液、支氣管液、羊水、唾液和腦脊液等體液中均可達有效治療濃度。給藥后約60~70%以原形隨尿液排泄,12%隨糞便排出,以單次0.5g、1g和2g(30分鐘)靜脈滴注給藥后2小時,尿中濃度可達1100mg/L、3500mg/L和6600mg/L,8~12小時仍可維持在25~120mg/L,以單次0.5g和1g肌注給藥后2小時,尿中濃度分別為500mg/L和1200mg/L,6~8小時后降至180~470mg/L。本品蛋白結合率為40~65%、血清消除半衰期為1.5~2小時,腎功能不全者血清消除半衰期明顯延長,肝功能不全者則略有延長。本品與丙磺舒或利磺胺合用將導致氨曲南血藥濃度明顯升高。
【貯 藏】遮光, 密閉, 在涼暗處(避光并不超過20℃)保存。
【包 裝】西林瓶裝;1瓶/盒、2瓶/盒、10瓶/盒、20瓶/盒、50瓶/盒。
【有 效 期】24個月。
【執行標準】《中國藥典》2015年版二部
【批準文號】0.5g 國藥準字H20084212;1.0g 國藥準字H20084213;2.0g 國藥準字H20084214。
【生產企業】
企業名稱:山東羅欣藥業集團股份有限公司
生產地址:山東省臨沂高新技術產業開發區羅七路
郵政編碼:276017
電話號碼:0539-8257899 8481991
傳真號碼:0539-8481990
售后服務:0539-8242699
網 址:m.hbrunding.cn
本品適用于治療敏感需氧革蘭陰性菌所致的各種感染,如:尿路感染、下呼吸道感染、敗血癥、腹腔內感染、婦科感染、術后傷口及燒傷、潰瘍等皮膚軟組織感染等。亦用于治療醫院內感染中的上述類型感染(如免疫缺陷病人的醫院內感染)。
用法:
1.靜脈滴注:每1g氨曲南至少用注射用水3ml溶解,再用適當輸液(0.9%氯化鈉注射液、5%或10%葡萄糖注射液或林格氏注射液)稀釋,氨曲南濃度不得超過2%,滴注時間20~60分鐘。
2.靜脈推注:每瓶用注射用水6~10ml溶解,于3~5分鐘內緩慢注入靜脈。
3.肌肉注射:每1g氨曲南至少用注射用水或0.9%氯化鈉注射液3ml溶解,深部肌肉注射。
用量:
病人單次劑量大于1g或患敗血癥、其他全身嚴重感染或危及生命的感染應靜脈給藥,最高劑量每日8g。
病人有短暫或持續腎功能減退時,宜根據腎功能情況,酌情減量。對肌酐清除率小于10~30ml/(min·1.73m2)的腎功能損害者,首次用量1g或2g,以后用量減半;對肌酐清除率小于10ml/(min·1.73m2),如依靠血液透析的腎功能嚴重衰竭者,首次用量0.5g、1g或2g,維持量為首次劑量的1/4,間隔時間為6、8或12小時;對嚴重或危及生命的感染者,每次血液透析后,在原有的維持量上增加首次用量的1/8。